Anthranilate synthase
Serratia marcescens anthranilate synthase dimer complex with TrpE (red) and TrpG (blue). PDB: 1I7Q
Identifiers
EC no.4.1.3.27
CAS no.9031-59-8
Databases
IntEnzIntEnz view
BRENDABRENDA entry
ExPASyNiceZyme view
KEGGKEGG entry
MetaCycmetabolic pathway
PRIAMprofile
PDB structuresRCSB PDB PDBe PDBsum
Gene OntologyAmiGO / QuickGO
Search
PMCarticles
PubMedarticles
NCBIproteins

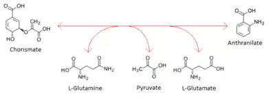
The enzyme anthranilate synthase (EC 4.1.3.27) catalyzes the chemical reaction

chorismate + L-glutamine anthranilate + pyruvate + L-glutamate

Function

Anthranilate synthase creates anthranilate, an important intermediate in the biosynthesis of indole, and by extension, the amino acid tryptophan. Tryptophan can then be metabolized further into serotonin, melatonin, or various auxins.

Reaction

Anthranilate synthase catalyzes the change from chorismate to anthranilate. As its other substrate, it can use either glutamine or ammonia.[1] During the reaction, both a hydroxyl group and an enolpyruvyl group are removed from the aromatic ring. The enolpyruvyl group gains a proton to form pyruvate. It has been shown that the proton comes from the surrounding water and not from an intramolecular shift of a hydrogen atom on the substrates.[1] The amino group of glutamine (or ammonia itself) attacks chorismate in position 2, which leads to the elimination of enolpyruvyl group from position 3. In the process, an aromatic ring is re-formed.

Chemical equation of reaction occurring in anthranilate synthase

Structure and assembly

The complex is made up of α and β subunits. Gel filtration experiments reveal that the complex occurs as an α2β2 tetramer under native conditions, and as an αβ dimer under high salt concentrations.[2] The αβ dimers interact through the α subunits to form the complex.

The subunits of anthranilate synthase are encoded by the trpE and trpD genes in E. coli, both of which appear in the trp operon.

In Enterobacteriaceae, this enzyme exists in the form of an aggregate with anthranilate phosphoribosyltransferase. If these two enzymes are not clustered, the complex is unable to use glutamine as a substrate and can only use ammonia.[1]

Homologs

Paralogs

Nomenclature

This enzyme belongs to the family of lyases, to be specific the oxo-acid-lyases, which cleave carbon-carbon bonds. The systematic name of this enzyme class is chorismate pyruvate-lyase (amino-accepting; anthranilate-forming). Other names in common use include anthranilate synthetase, chorismate lyase, and chorismate pyruvate-lyase (amino-accepting). This enzyme participates in phenylalanine, tyrosine and tryptophan biosynthesis and two-component system - general.

Structural studies

As of late 2007, five structures have been solved for this class of enzymes, with PDB accession codes 1I1Q, 1I7Q, 1I7S, 1QDL, and 2I6Y.

Application

References

  1. 1 2 3 Tamir, H.; Srinivasan, P. R. (June 1970). "Studies of the Mechanism of Anthranilate Synthase Reaction". Proceedings of the National Academy of Sciences of the United States of America. 66 (2): 547–551. Bibcode:1970PNAS...66..547T. doi:10.1073/pnas.66.2.547. ISSN 0027-8424. PMC 283079. PMID 5271179.
  2. Poulsen, C; Bongaerts, RJ; Verpoorte, R (March 1993). "urification and characterization of anthranilate synthase from Catharanthus roseus". European Journal of Biochemistry. 212 (2): 431–440. doi:10.1111/j.1432-1033.1993.tb17679.x. PMID 8444181.


This article is issued from Wikipedia. The text is licensed under Creative Commons - Attribution - Sharealike. Additional terms may apply for the media files.