The term Tsallis statistics usually refers to the collection of mathematical functions and associated probability distributions that were originated by Constantino Tsallis. Using that collection, it is possible to derive Tsallis distributions from the optimization of the Tsallis entropic form. A continuous real parameter q can be used to adjust the distributions, so that distributions which have properties intermediate to that of Gaussian and Lévy distributions can be created. The parameter q represents the degree of non-extensivity of the distribution. Tsallis statistics are useful for characterising complex, anomalous diffusion.

Tsallis functions

The q-deformed exponential and logarithmic functions were first introduced in Tsallis statistics in 1994.[1] However, the q-deformation is the Box–Cox transformation for , proposed by George Box and David Cox in 1964.[2]

q-exponential

The q-exponential is a deformation of the exponential function using the real parameter q.[3]

Note that the q-exponential in Tsallis statistics is different from a version used elsewhere.

q-logarithm

The q-logarithm is the inverse of q-exponential and a deformation of the logarithm using the real parameter q.[3]

Inverses

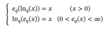
These functions have the property that

Inverses



Analysis

The limits of the above expression can be understood by considering for the exponential function and for the logarithm.

See also

References

  1. Tsallis, Constantino (1994). "What are the numbers that experiments provide?". Química Nova. 17: 468.
  2. Box, George E. P.; Cox, D. R. (1964). "An analysis of transformations". Journal of the Royal Statistical Society, Series B. 26 (2): 211–252. JSTOR 2984418. MR 0192611.
  3. 1 2 Umarov, Sabir; Tsallis, Constantino; Steinberg, Stanly (2008). "On a q-Central Limit Theorem Consistent with Nonextensive Statistical Mechanics" (PDF). Milan J. Math. Birkhauser Verlag. 76: 307–328. doi:10.1007/s00032-008-0087-y. S2CID 55967725. Retrieved 2011-07-27.
  • S. Abe, A.K. Rajagopal (2003). Letters, Science (11 April 2003), Vol. 300, issue 5617, 249251. doi:10.1126/science.300.5617.249d
  • S. Abe, Y. Okamoto, Eds. (2001) Nonextensive Statistical Mechanics and its Applications. Springer-Verlag. ISBN 978-3-540-41208-3
  • G. Kaniadakis, M. Lissia, A. Rapisarda, Eds. (2002) "Special Issue on Nonextensive Thermodynamics and Physical Applications." Physica A 305, 1/2.
This article is issued from Wikipedia. The text is licensed under Creative Commons - Attribution - Sharealike. Additional terms may apply for the media files.